Biotinylated Human FcRH5/FcRL5 Protein (FCR-HM401B) Summary
Product Description |
Recombinant Biotinylated Human FcRH5/FcRL5 Protein is expressed from HEK293 with His tag and Avi tag at the N-Terminus.It contains Gln16-Gly851. |
Product Background |
FcRH5 is a cell surface marker enriched on malignant plasma cells when compared to other hematologic malignancies and normal tissues. DFRF4539A is an anti-FcRH5 antibody-drug conjugated to monomethyl auristatin E (MMAE), a potent anti-mitotic agent. |
Product Category |
Recombinant Protein / Antibody discovery / Antibody discovery | Others |
Biotinylated Human FcRH5/FcRL5 Protein (FCR-HM401B) Specifications/Details
Protein |
FcRH5/FcRL5 |
Synonyms |
FcR-like protein 5; FcRH5; FcRL5; BXMAS1; BXMAS1MGC119592; CD307; CD307e; DKFZp667E2019; DKFZp667F216; FCRH5MGC119593; FLJ00333; FLJ00397; IFGP5; IRTA2 |
Accession |
|
Species |
Human |
Biotinylated |
yes |
Amino Acid Range |
Gln16-Gly851 |
Molecular Weight |
The protein has a predicted MW of 94.19 kDa. Due to glycosylation, the protein migrates to 90-130 kDa based on Bis-Tris PAGE result. |
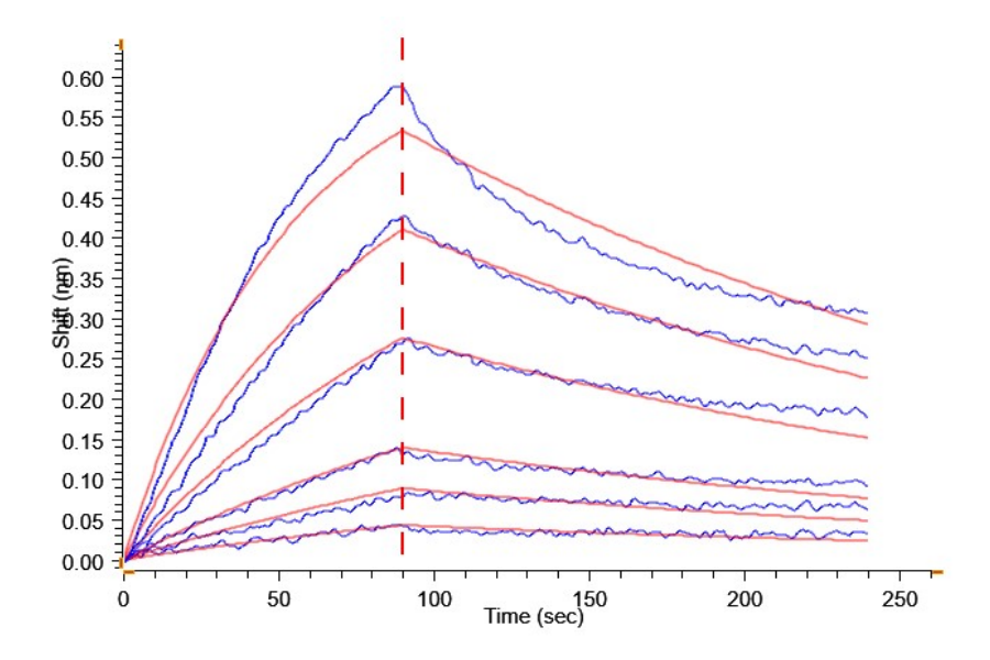
Activity |
Immobilized Anti-FcRH5 Antibody at 2ug/ml (100ul/well) on the plate. Dose response curve for Biotinylated Human FcRH5, His Tag with the EC50 of 93.6ng/ml determined by ELISA. |
Product Tag |
N-His-Avi |
Expression System |
HEK293 |
Purity |
> 95% as determined by Bis-Tris PAGE |
Endotoxin |
Less than 1 EU per ug by the LAL method. |
Shipping, Reconstitution, & Storage
Form |
Lyophilized |
Shipping |
Shipped at ambient temperature. |
Formulation |
Lyophilized from 0.22 um filtered solution in PBS (pH 7.4). Normally 8% trehalose is added as protectant before lyophilization. |
Reconstitution |
Dissolve the lyophilized protein in distilled water. It is recommended to resuspend at 0.5 mg/mL if the lyophilized powder is 100 ug or less, at 1mg/ml for 500ug or 1mg lyophilized powder. Do not mix by vortex or vigorous shaking. |
Stability And Storage |
-20 to -80°C for 12 months as supplied from date of receipt.;-80°C for 3 months after reconstitution.;Recommend to aliquot the protein into smaller quantities for optimal storage. Please minimize freeze-thaw cycles. |
Validation Images
Related Products
Have more questions?
Check out our Frequently Asked Questions page for more details about product specifications, ordering, and shipments.
Contact Us
More from Antibody Drug Discovery Proteins
Recently viewed
