- Express System: HEK293
- Purity: > 95% as determined by HPLC
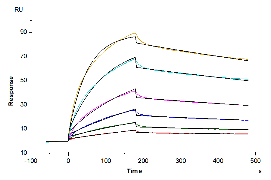
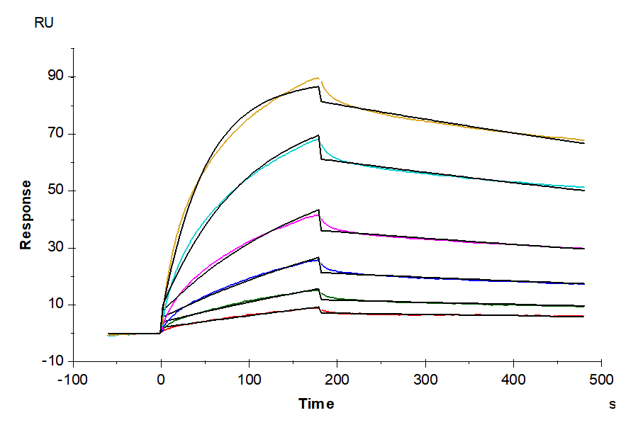
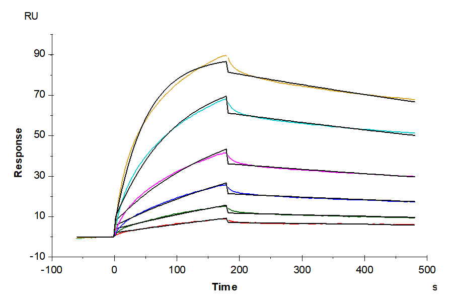
- Activity: Immobilized Human Claudin 18.2 VLP at 5 ug/ml (100 ul/Well). Dose response curve for Anti-Claudin 18.2 Antibody, hFc Tag with the EC50 of 7.5 ng/ml determined by ELISA (QC Test). The affinity constant of 1.71 nM as determined in SPR assay (Biacore T200).
- Amino Acid Range: Met1-Val261
Human Claudin 18.2 VLP (CLD-HE1822) Summary
Product Description |
Human Claudin 18.2 VLP is expressed from HEK293. It contains Met1-Val261 (It may have cross reaction with anti-His antibody). |
Product Background |
Claudin18 (CLDN18) belongs to the large claudin family of proteins, which form tight junction strands in epithelial cells. CLDN18 is specifically expressed in the stomach and lung. CLDN18 has two alternatively spliced variants, CLDN18.1 and CLDN18.2. Isoform 2 (Claudin 18.2) is abundant in gastric tumors. |
Product Category |
Recombinant Protein / Antibody discovery / Multiple transmembrane proteins / VLP |
Human Claudin 18.2 VLP (CLD-HE1822) Specifications/Details
Protein |
Claudin 18.2 |
Synonyms |
CLDN18; CLDN18.2; Claudin-18.2; Claudin18.2; Claudin-18; DKFZp564B2062; SFTA5; SFTPJ |
Accession |
|
Species |
Human |
Biotinylated |
no |
Amino Acid Range |
Met1-Val261 |
Molecular Weight |
The target protein has a predicted MW of 29 kDa. |
Activity |
Immobilized Human Claudin 18.2 VLP at 5 ug/ml (100 ul/Well). Dose response curve for Anti-Claudin 18.2 Antibody, hFc Tag with the EC50 of 7.5 ng/ml determined by ELISA (QC Test). The affinity constant of 1.71 nM as determined in SPR assay (Biacore T200). |
Expression System |
HEK293 |
Purity |
> 95% as determined by HPLC |
Endotoxin |
Less than 1 EU per ug by the LAL method. |
Shipping, Reconstitution, & Storage
Form |
Liquid |
Shipping |
Shipped with dry ice. |
Formulation |
Supplied as 0.22 um filtered solution in PBS, 300mM L-arginine (pH 7.4). |
Stability And Storage |
Valid for 12 months from date of receipt when stored at -80°C.; Recommend to aliquot the protein into smaller quantities for optimal storage. Please minimize freeze-thaw cycles. |
Validation Images
Related Products
Have more questions?
Check out our Frequently Asked Questions page for more details about product specifications, ordering, and shipments.
Contact Us
More from Antibody Drug Discovery Proteins
Recently viewed
