- Express System: HEK293
- Product Tag: C-His-Avi
- Purity: > 95% as determined by Bis-Tris PAGE;> 95% as determined by HPLC
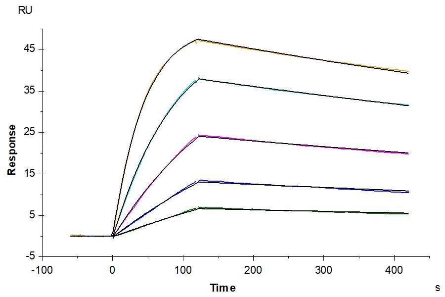
- Activity: Immobilized Human GPA33, His Tag at 1ug/ml (100ul/well) on the plate. Dose response curve for Anti-GPA33 Antibody, hFc Tag with the EC50 of 4.8ng/ml determined by ELISA (QC Test). The affinity constant of 0.69 nM as determined in SPR assay (Biacore T200).
- Amino Acid Range: Ile22-Val235
Non-biotinylated Human GPA33/A33 Protein (GPA-HM433) Summary
Product Description |
Recombinant Human GPA33/A33 Protein is expressed from HEK293 with His tag and Avi tag at the C-Terminus.It contains Ile22-Val235. |
Product Background |
Glycoprotein A33 (GPA33) is also known as Cell surface A33 antigen, is a single-pass type I membrane protein which is expressed in normal gastrointestinal epithelium and in 95% of colon cancers. GPA33 The predicted mature protein has a 213-amino acid extracellular region, a single transmembrane domain, and a 62-amino acid intracellular tail. The sequence of the extracellular region contains 1 Ig-like C2-type (immunoglobulin-like) domain and 1 Ig-like V-type (immunoglobulin-like) domain characteristic of the CD2 subgroup of the immunoglobulin (Ig) superfamily, which contains. GPA33 may play a role in cell-cell recognition and signaling. |
Product Category |
Recombinant Protein / Antibody discovery / Antibody discovery | Others |
Non-biotinylated Human GPA33/A33 Protein (GPA-HM433) Specifications/Details
Protein |
GPA33/A33 |
Synonyms |
Glycoprotein A33; GPA33; A33; MGC129986; MGC129987 |
Accession |
|
Species |
Human |
Biotinylated |
no |
Amino Acid Range |
Ile22-Val235 |
Molecular Weight |
The protein has a predicted MW of 26.5 kDa. Due to glycosylation, the protein migrates to 28-40 kDa based on Bis-Tris PAGE result. |
Activity |
Immobilized Human GPA33, His Tag at 1ug/ml (100ul/well) on the plate. Dose response curve for Anti-GPA33 Antibody, hFc Tag with the EC50 of 4.8ng/ml determined by ELISA (QC Test). The affinity constant of 0.69 nM as determined in SPR assay (Biacore T200). |
Product Tag |
C-His-Avi |
Expression System |
HEK293 |
Purity |
> 95% as determined by Bis-Tris PAGE;> 95% as determined by HPLC |
Endotoxin |
Less than 1 EU per ug by the LAL method. |
Shipping, Reconstitution, & Storage
Form |
Lyophilized |
Shipping |
Shipped at ambient temperature. |
Formulation |
Lyophilized from 0.22um filtered solution in PBS (pH 7.4). Normally 8% trehalose is added as protectant before lyophilization. |
Reconstitution |
Dissolve the lyophilized protein in distilled water. It is recommended to resuspend at 0.5 mg/mL if the lyophilized powder is 100 ug or less, at 1mg/ml for 500ug or 1mg lyophilized powder. Do not mix by vortex or vigorous shaking. |
Stability And Storage |
-20 to -80°C for 12 months as supplied from date of receipt.;-80°C for 3 months after reconstitution.;Recommend to aliquot the protein into smaller quantities for optimal storage. Please minimize freeze-thaw cycles. |
Validation Images
Related Products
Have more questions?
Check out our Frequently Asked Questions page for more details about product specifications, ordering, and shipments.
Contact Us
More from Antibody Drug Discovery Proteins
Recently viewed
